Carlos García Sánchez, investigador de la Universidad Politécnica de Madrid (INEF-UPM), ha liderado un estudio en colaboración con la Universidad de Estrasburgo y la Universidad Europea de Madrid que analiza con precisión cómo varían las demandas físicas según la posición de juego durante partidos oficiales de balonmano femenino. La gran pregunta que se plantean los autores: ¿Tiene sentido que todas las jugadoras entrenen igual independientemente de su rol en el campo?
Nuevas tecnologías para revelar las verdaderas exigencias físicas de la competición
Hasta hace poco, conocer las demandas físicas del balonmano se limitaba a métodos menos precisos como el análisis de vídeo, que ofrecían información valiosa pero con importantes limitaciones. Hoy, gracias a tecnologías como los sistemas de posicionamiento local (LPS) combinados con sensores inerciales (IMUs), es posible medir con exactitud variables como la distancia recorrida, la velocidad, las aceleraciones, las deceleraciones y el PlayerLoad™ acumulado en tiempo real durante la competición.
Este estudio se ha centrado en un equipo semiprofesional de la Segunda División española femenina, monitorizando a 22 jugadoras durante 13 partidos oficiales en casa. Las posiciones analizadas fueron: extremos, primeras líneas y pivotes, y se recogieron más de 150 registros individuales.
¿Qué exigencias soporta cada posición en un partido oficial?
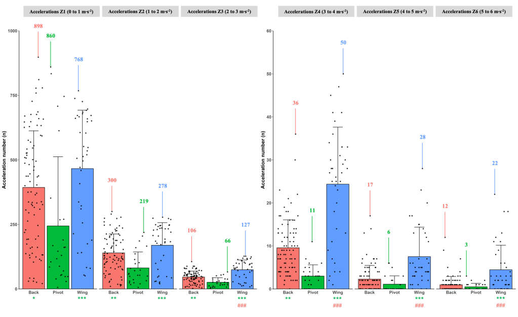
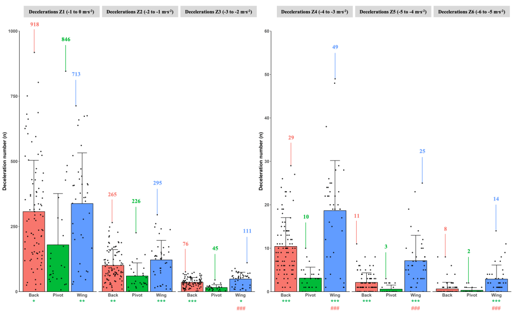
En balonmano femenino, no todas las posiciones soportan las mismas demandas físicas. Gracias al uso de tecnología LPS e IMU durante partidos oficiales, este estudio revela perfiles de carga claramente diferenciados para extremos, primeras líneas y pivotes. A continuación, se detallan las características principales de cada rol.
Primeras líneas
Son responsables de la construcción del ataque posicional y, en consecuencia, su perfil físico se caracteriza por numerosas aceleraciones y deceleraciones en espacios reducidos, además de frecuentes cambios de dirección para obtener ventajas en el juego. Aunque no recorren grandes distancias, acumulan una alta densidad de acciones explosivas por minuto, lo que es traduce en una elevada carga neuromuscular.
Extremos
Protagonistas en las fases de contraataque y repliegue defensivo, recorren las mayores distancias del equipo, incluyendo tramos a velocidades muy elevadas. También son las jugadoras que más aceleran, frenan y cambian de ritmo a lo largo del partido. Esto genera un perfil físico muy demandante, especialmente en términos de velocidad, resistencia al sprint y acciones de alta intensidad.
Pivotes
Actúan en zonas congestionadas del ataque posicional y tienen un rol clave en las tareas defensivas. Aunque su volumen de desplazamiento es menor, realizan esfuerzos muy intensos relacionados con el contacto físico, la lucha por la posición y los bloqueos. Por tanto, necesitan elevados niveles de fuerza isométrica, estabilidad y capacidad de soportar impactos. Su perfil se caracteriza por una menor carga externa acumulada, pero alta exigencia estructural.

¿Y qué sucede con el PlayerLoad?
A pesar de las diferencias en distancia y número de acciones, el PlayerLoad por minuto no muestra diferencias significativas entre posiciones, lo que sugiere que todas experimentan una intensidad relativa similar durante el tiempo que están en pista. Esto refuerza la idea de que no debe interpretarse la carga absoluta de forma aislada, sino siempre en relación con el tiempo de juego efectivo.


En resumen…
- Las extremos son las jugadoras que más distancia recorren y lo hacen a mayor velocidad.
- Las primeras líneas no recorren tanta distancia, pero concentran más acciones explosivas por minuto, lo que indica una alta densidad de esfuerzos.
- Las pivotes presentan las menores valores de carga externa, pero su juego se basa en el contacto constante y esfuerzos isométricos máximos, difíciles de cuantificar con tecnología inercial pero fundamentales en el juego posicional.
Aplicaciones prácticas: individualización del entrenamiento y optimización del rendimiento competitivo
Los resultados obtenidos en este estudio evidencian la necesidad de aplicar un enfoque individualizado y contextualizado a la planificación del entrenamiento en balonmano femenino, fundamentado en las demandas específicas que impone cada posición. A continuación, se presentan las principales implicaciones prácticas desde una perspectiva técnico-científica.
Extremos: Su alta exposición a acciones de alta velocidad y desplazamientos de larga distancia justifica la inclusión prioritaria de métodos de entrenamiento que permitan incrementar la capacidad aeróbica-anaeróbica para retrasar y minimizar la aparición de la fatiga y, en consecuencia, aumentar la capacidad de repetir sprints durante todo el partido. Para ello, los entrenadores y preparadores físicos pueden emplear diferentes métodos de entrenamiento interválico de alta intensidad (HIIT), como pueden ser Long HIIT, Short HIIT, Repeated Sprint Training y Sprint Interval Training y entrenamientos de sprints resistidos/asistidos. A nivel preventivo, deben enfatizarse estrategias para mejorar la capacidad de deceleración y control neuromuscular, especialmente a nivel de isquiotibiales y musculatura estabilizadora de la rodilla, ante el elevado riesgo de lesiones (p.j.: LCA) por frenadas intensas y cambios de dirección.
Primeras líneas: Aunque presentan valores moderados de distancia total, la elevada frecuencia relativa de aceleraciones y deceleraciones sugiere un perfil intermitente y altamente demandante a nivel neuromuscular. Por tanto, los entrenadores y preparadores físicos deberían implementar programas de entrenamiento que aumenten la capacidad de los músculos y tendones para atenuar eficazmente las intensas contracciones excéntricas asociadas a las acciones de deceleración típicas de esta posición de juego (movimiento de pistón asociado a atacar, fijar y recuperar posición), y con ello minimizar la fatiga neuromuscular, el daño tisular y las respuestas inflamatorias provocadas por la repetición de este tipo de acciones
Pivotes: A pesar de su menor carga cinemática, su rol se caracteriza por una elevada exigencia mecánica e isométrica, asociada a situaciones de contacto, empuje, y lucha por la posición. Por tanto, es prioritario desarrollar programas centrados en el desarrollo de la fuerza máxima y la hipertrofia empleando preferentemente cargas altas (70-90%1RM), así como la estabilización del tronco (CORE) con el objetivo de soportar contactos pesados y producir un alto nivel de fuerza isométrica para bloquear a los adversarios. Además, se recomienda implementar ejercicios de fuerza con alto componente rotacional como lanzamientos de balón medicinal, ejercicios con poleas o ejercicios de empuje y giro con barra (p.ej. rotational landmine press) que permitan mejorar la capacidad de girar de forma rápida y potente.

Además, los profesionales de balonmano deberían incorporar diferentes métodos de entrenamiento de la fuerza para desarrollar una capacidad de deceleración más eficiente y, en consecuencia, reducir el riesgo de lesiones y maximizar el rendimiento físico, especialmente en aquellas jugadoras que ocupan la posición de extremo y primera línea.
– Ejercicios unilaterales y bilaterales
– Ejercicios monoarticulares y multiarticulares
– Ejercicios excéntricos y excéntricos acentuados
– Ejercicios pliométricos y pliométricos acentuados
– Ejercicios olímpicos y sus derivados
– Ejercicios específicos de estabilización y aterrizaje con una o dos piernas
– Ejercicios dde cambios de dirección con perturbaciones y oposición
– Ejercicios de deceleraciones rápidas partiendo desde altas velocidades
Conclusión: el entrenamiento debe adaptarse a la posición
El estudio publicado en el Montenegrin Journal of Sports Science and Medicine pone en evidencia la necesidad de abandonar el paradigma tradicional basado en el mismo entrenamiento físico para todas las posiciones y avanzar hacia una planificación individualizada según el perfil físico y las demandas reales de cada posición. Las extremos no solo corren más, sino que lo hacen más rápido, con más cambios de ritmo y mayor impacto; las primeras líneas requieren resistencia a la fatiga neuromuscular; y las pivotes necesitan una estructura sólida para tolerar los contactos. Además, la monitorización con tecnología LPS-IMU permite conocer estos patrones con mayor precisión para gestionar la cargas de entrenamiento y competición, optimizando el rendimiento y reduciendo el riesgo de lesiones.
Referencia
García-Sánchez, C., Karcher, C., Navarro, M.N., Nieto-Acevedo, R., Cañadas-García, E., Rubia,, A. (2024) Same Training for Everyone? Effects of Playing Positions on Physical Demands During Official Matches in Women’s Handball. Montenegrin Journal of Sports Science and Medicine, 20(1), 11-18. https://doi.org/10.26773/mjssm.240302